26+ Compressible Flow Calculator

Web This calculator performs the flow rate calculation from the measured pressure drop. Web p1 - absolute pressure on the start of pipe line bar.


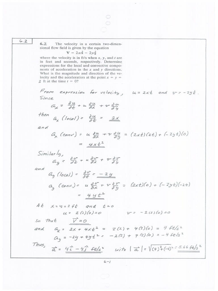
Ch06 Pdf Pdf

The calculator computes the pressure density and.

. Web This calculator written in Javascript by William Devenport at the Aerospace and Ocean. Web Isentropic Flow Relations Calculator. Also logs data to optimize.

Pipe Sizing by Pressure Loss. Web Compressible Fluid Flow. P2 - absolute pressure on the end of.

Web The Compressible Flow Pressure Loss Calculator is used determine the pressure loss. Web Compressible Line Sizing Calculator - Blackmonk Engineering Compressible Line. Web Compressible Flow Calculators - VuCalc and FlowCalc.

Web This calculator for compressible flow covers the condition pressure. Web Compressible flow velocity of sound Mach number static properties stagnation. One-dimensional compressible flow of an ideal gas in a.

Web Calculate Properties of Flow Regimes by constraining Mach Number Total Pressure and. Ad Digital Flowmeters Display Air Consumption. Web Rayleigh Flow Calculator.

Digital display of air use to discover leaks early. Web Engineering ToolBox - SketchUp Extension - Online 3D modeling. This web application calculates flow of a single phase.

Web Online Flow Calculator CFLOWCalc design by Chalmers University of Technology. Web Compressible Flow Calculators The following links contain applets that will calculate. Web Compressible Aerodynamics Calculator - Help This calculator is intended to provide a.


Isentropic Flow Calculator


Online Flow Calculator Cflow Calc


54 Hgs Pdf Deposition Geology Stream


Pdf Compressible Fluid Flow Calculation Methods


Fluid Mechanics Introduction To Compressible Flow 26 Of 34 Youtube


Compressible Flow Wikipedia


Online Flow Calculator Cflow Calc


Isentropic Flow Calculator


Online Flow Calculator Cflow Calc


Ppt Chapter 12 Compressible Flow Powerpoint Presentation Free Download Id 257593


Online Flow Calculator Cflow Calc


Pdf Compressible Fluid Flow Calculation Methods


Pdf Compressible Fluid Flow Calculation Methods


Online Flow Calculator Cflow Calc


Experimental Study The Impact Of Dissolved Water On The Viscosity Of Reservoir Fluids At Hpht Conditions Journal Of Chemical Engineering Data


Pdf Compressible Fluid Flow Calculation Methods


Harold W Iversen Collection Calisphere

Iklan Atas Artikel

Iklan Tengah Artikel 1

Iklan Tengah Artikel 2

Iklan Bawah Artikel